Adenosine Related Products
Axios Research stands at the forefront of pharmaceutical reference standards ingenuity, providing high quality Adenosine Reference Standards. These include both pharmacopeial and non-pharmacopeial Adenosine impurities, metabolites, stable isotope products, and nitrosamines. Our Adenosine impurity reference standards are essential for pharmaceutical research, aiding in product development, ANDA and DMF submissions, quality control (QC), method validation, and stability studies. They are also used in identifying unknown impurities and evaluating genotoxic potential. Our Adenosine related products are meticulously characterized and come with a comprehensive Certificates of Analysis (COA) and analytical data that comply with regulatory standards.
2’-Deoxyadenosine-5’-triphosphate Trisodium Salt
M.F.
M.W. 488.16 3*22.99
CAT# AR-A05620
CAS# 54680-12-5
Adenosine Impurity 13 Disodium Salt (Ap2A 2Na Salt)
M.F.
M.W. 674.42 2*22.99
CAT# AR-A05635
CAS# 85065-24-3
Adenosine Impurity 11 Sodium Salt (2',3'-cAMP Sodium Salt)
M.F.
M.W. 328.20 22.99
CAT# AR-A05664
CAS# 37063-35-7
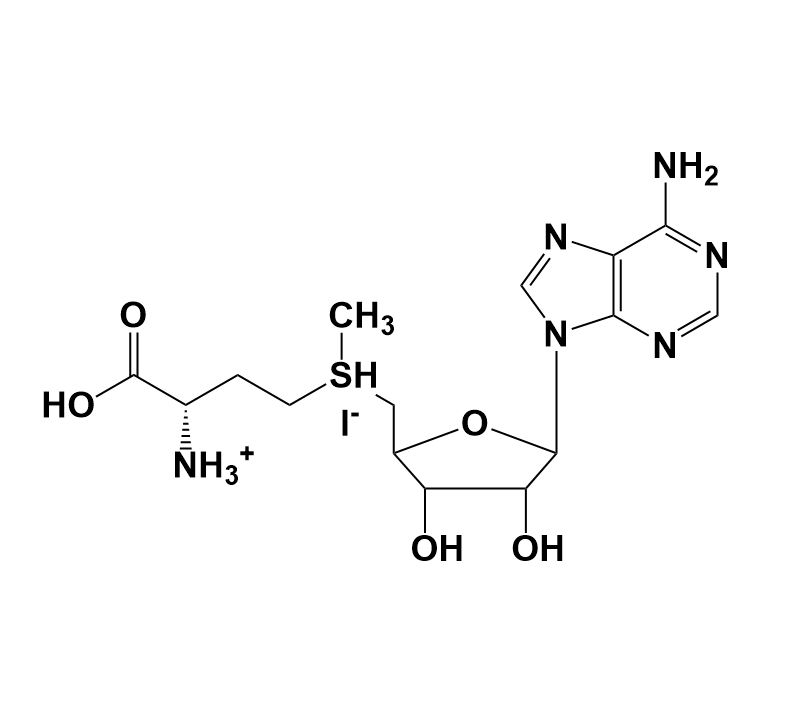
Decarboxylated S-Adenosylmethionine Disulfonate Salt
M.F.
M.W. 355.44 . 217.24
CAT# AR-A04875
CAS# NA