Dutasteride Related Products
Axios Research stands at the forefront of pharmaceutical reference standards ingenuity, providing high quality Dutasteride Reference Standards. These include both pharmacopeial and non-pharmacopeial Dutasteride impurities, metabolites, stable isotope products, and nitrosamines. Our Dutasteride impurity reference standards are essential for pharmaceutical research, aiding in product development, ANDA and DMF submissions, quality control (QC), method validation, and stability studies. They are also used in identifying unknown impurities and evaluating genotoxic potential. Our Dutasteride related products are meticulously characterized and come with a comprehensive Certificates of Analysis (COA) and analytical data that comply with regulatory standards.
Dutasteride Ester Impurity (Finasteride EP Impurity B)
M.F.
M.W. 331.46
CAT# AR-Q02156
CAS# 103335-41-7
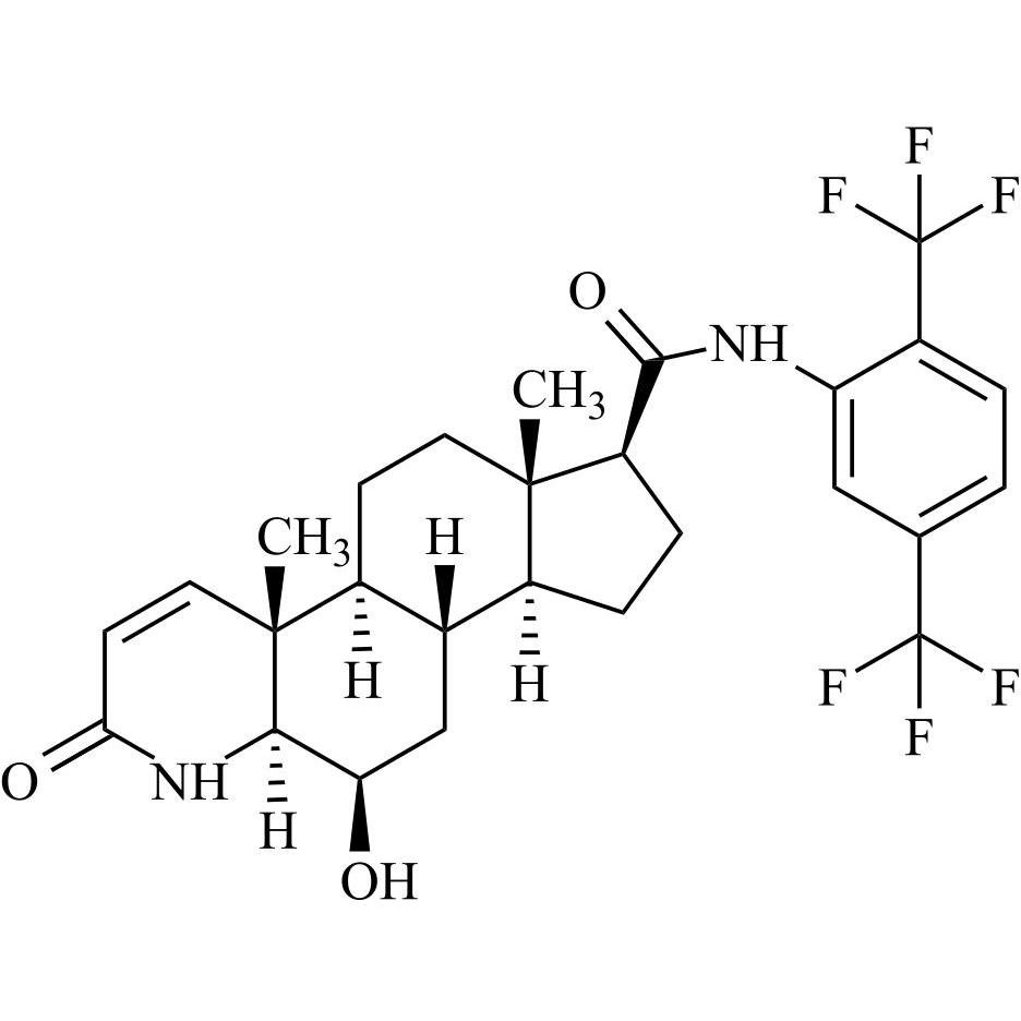
Dutasteride EP Impurity D (Dutasteride 17-alfa-5-ene)
M.F.
M.W. 526.53
CAT# AR-D02561
CAS# 3088800-46-5
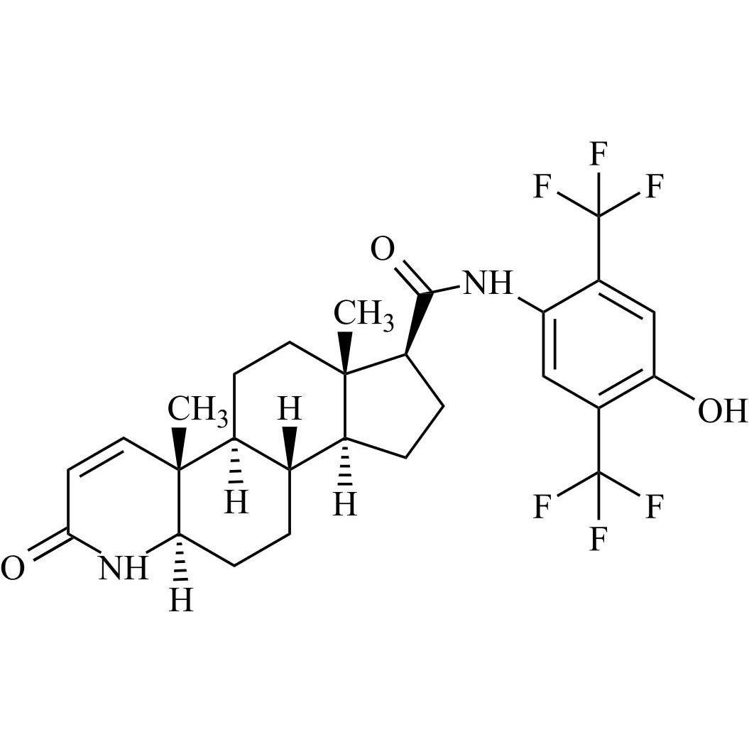
N-[2,5-Bis(Trifluoromethyl)phenyl]-3-oxo-4-[3-oxo-4-aza-5α-androst-1-ene-17α-carbonyl]-4-
M.F.
M.W. 827.96
CAT# AR-D02558
CAS# NA