Eicosapentaenoic Acid Related Products
Axios Research stands at the forefront of pharmaceutical reference standards ingenuity, providing high quality Eicosapentaenoic Acid Reference Standards. These include both pharmacopeial and non-pharmacopeial Eicosapentaenoic Acid impurities, metabolites, stable isotope products, and nitrosamines. Our Eicosapentaenoic Acid impurity reference standards are essential for pharmaceutical research, aiding in product development, ANDA and DMF submissions, quality control (QC), method validation, and stability studies. They are also used in identifying unknown impurities and evaluating genotoxic potential. Our Eicosapentaenoic Acid related products are meticulously characterized and come with a comprehensive Certificates of Analysis (COA) and analytical data that comply with regulatory standards.
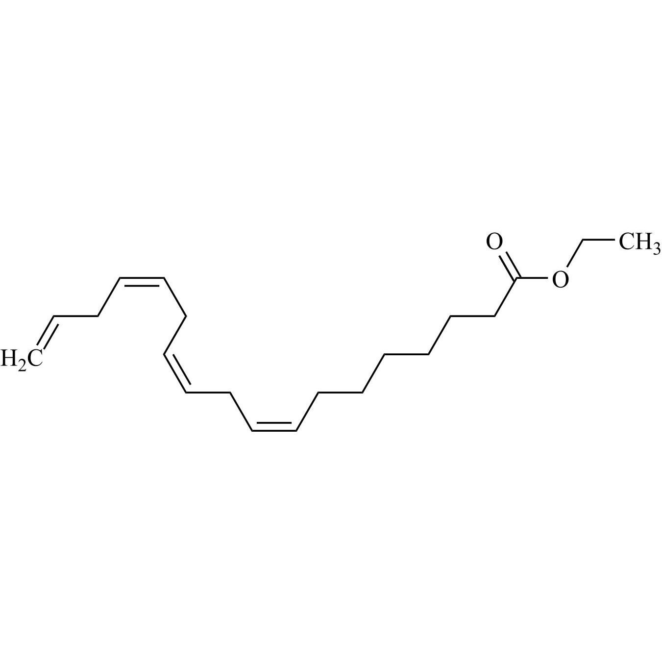
Eicosapentaenoic Acid Impurity Mix of Isomer Impurities 7 and 8
M.F.
M.W. 330.51
CAT# AR-E11079
CAS# NA
Eicosapentaenoic Acid Methyl Ester-13C3
M.F.
M.W. 319.46
CAT# AR-E09444
CAS# 2734-47-6 (non-labelled)