Lidocaine Related Products
Axios Research stands at the forefront of pharmaceutical reference standards ingenuity, providing high quality Lidocaine Reference Standards. These include both pharmacopeial and non-pharmacopeial Lidocaine impurities, metabolites, stable isotope products, and nitrosamines. Our Lidocaine impurity reference standards are essential for pharmaceutical research, aiding in product development, ANDA and DMF submissions, quality control (QC), method validation, and stability studies. They are also used in identifying unknown impurities and evaluating genotoxic potential. Our Lidocaine related products are meticulously characterized and come with a comprehensive Certificates of Analysis (COA) and analytical data that comply with regulatory standards.
N-Desethyl Lidocaine Hydrochloride Monohydrate EP Impurity K
M.F.
M.W. 192.26
CAT# AR-L07197
CAS# 42459-27-8
N-Desethyl Lidocaine Hydrochloride Monohydrate EP Impurity K HCl
M.F.
M.W. 192.26 36.46
CAT# AR-L07217
CAS# 35891-84-0
N-Nitroso Lidocaine EP Impurity H (N-Nitroso Lidocaine USP Related Compound H)
M.F.
M.W. 226.66
CAT# AR-L07192
CAS# NA
N-Nitroso Lidocaine EP Impurity B (N-Nitroso Lidocaine N-Oxide)
M.F.
M.W. 279.34
CAT# AR-L07193
CAS# NA
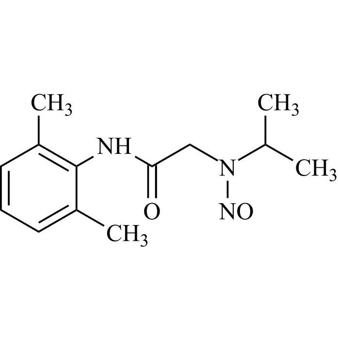
N-Nitroso-N-Desethyl Lidocaine Hydrochloride Monohydrate EP Impurity K
M.F.
M.W. 221.26
CAT# AR-L07215
CAS# NA
Analytical Services - Stability Testing of N-Nitroso Lidocaine
M.F.
M.W. 263.34
CAT# AR-L07188_AS
CAS# NA
Lidocaine EP Impurity A-d6 HCl (Bupivacaine EP Impurity F-d6 HCl, Ropivacaine EP Impurity H-d6 HCl, Ropivacaine USP Related Compound A-d6)
M.F.
M.W. 127.22 36.46
CAT# AR-L07218
CAS# NA