Polyunsaturated fatty acid (pufa) Related Products
Axios Research stands at the forefront of pharmaceutical reference standards ingenuity, providing high quality Polyunsaturated fatty acid (pufa) Reference Standards. These include both pharmacopeial and non-pharmacopeial Polyunsaturated fatty acid (pufa) impurities, metabolites, stable isotope products, and nitrosamines. Our Polyunsaturated fatty acid (pufa) impurity reference standards are essential for pharmaceutical research, aiding in product development, ANDA and DMF submissions, quality control (QC), method validation, and stability studies. They are also used in identifying unknown impurities and evaluating genotoxic potential. Our Polyunsaturated fatty acid (pufa) related products are meticulously characterized and come with a comprehensive Certificates of Analysis (COA) and analytical data that comply with regulatory standards.
(5Z,8Z,12S,14Z)-12-hydroxy-5,8,14-Eicosatrienoic acid methyl ester
M.F.
M.W. 336.52
CAT# AR-P32104
CAS# 127251-15-4
4(Z),7(Z),10(Z),13(Z),16(Z)-Nonadecapentaenoic Acid
M.F.
M.W. 288.43
CAT# AR-P32110
CAS# 136156-13-3
(4Z,7Z,10Z,13Z,16Z)-Docosapentanoic Acid Ethy Ester
M.F.
M.W. 358.57
CAT# AR-P32118
CAS# 142828-42-0
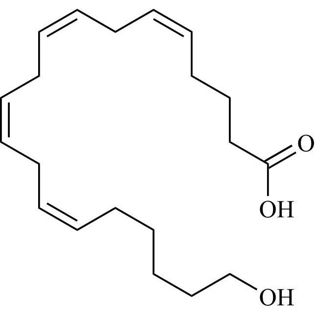
20-Hydroxy-(5Z,8Z,11Z,14Z)-Eicosatetraenoic Acid (20-HETE)
M.F.
M.W. 320.47
CAT# AR-P32120
CAS# 79551-86-3