Prostaglandin Related Products
Axios Research stands at the forefront of pharmaceutical reference standards ingenuity, providing high quality Prostaglandin Reference Standards. These include both pharmacopeial and non-pharmacopeial Prostaglandin impurities, metabolites, stable isotope products, and nitrosamines. Our Prostaglandin impurity reference standards are essential for pharmaceutical research, aiding in product development, ANDA and DMF submissions, quality control (QC), method validation, and stability studies. They are also used in identifying unknown impurities and evaluating genotoxic potential. Our Prostaglandin related products are meticulously characterized and come with a comprehensive Certificates of Analysis (COA) and analytical data that comply with regulatory standards.
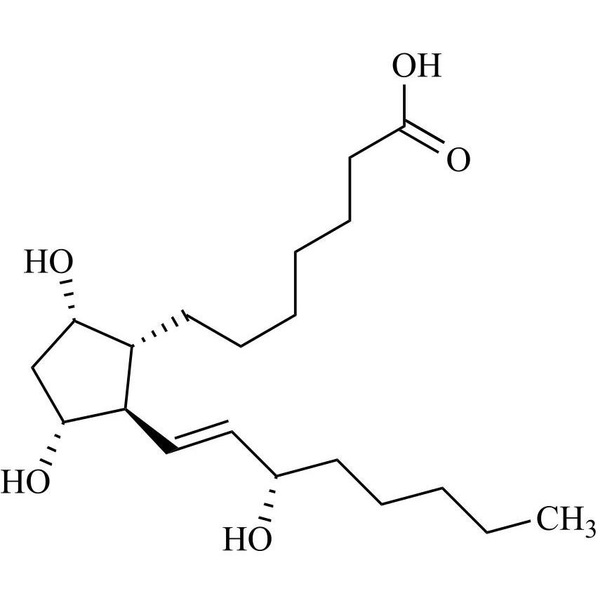
Alprostadil (Prostaglandin E1) EP Impurity G (Prostaglandin E2)
M.F.
M.W. 352.47
CAT# AR-P33076
CAS# 363-24-6
Alprostadil (Prostaglandin E1) Impurity 7 ((15R)-PGE2)
M.F.
M.W. 352.471
CAT# AR-P33077
CAS# 38873-82-4
Alprostadil (Prostaglandin E1) Impurity 10 ((15R)-PGE2 Methyl Ester)
M.F.
M.W. 366.50
CAT# AR-P33080
CAS# 38873-84-6