Salbutamol Related Products
Axios Research stands at the forefront of pharmaceutical reference standards ingenuity, providing high quality Salbutamol Reference Standards. These include both pharmacopeial and non-pharmacopeial Salbutamol impurities, metabolites, stable isotope products, and nitrosamines. Our Salbutamol impurity reference standards are essential for pharmaceutical research, aiding in product development, ANDA and DMF submissions, quality control (QC), method validation, and stability studies. They are also used in identifying unknown impurities and evaluating genotoxic potential. Our Salbutamol related products are meticulously characterized and come with a comprehensive Certificates of Analysis (COA) and analytical data that comply with regulatory standards.
Salbutamol EP Impurity N Diacetate (Mixture of Diastereomers)
M.F.
M.W. 460.62 2*60.05
CAT# AR-S09844
CAS# NA
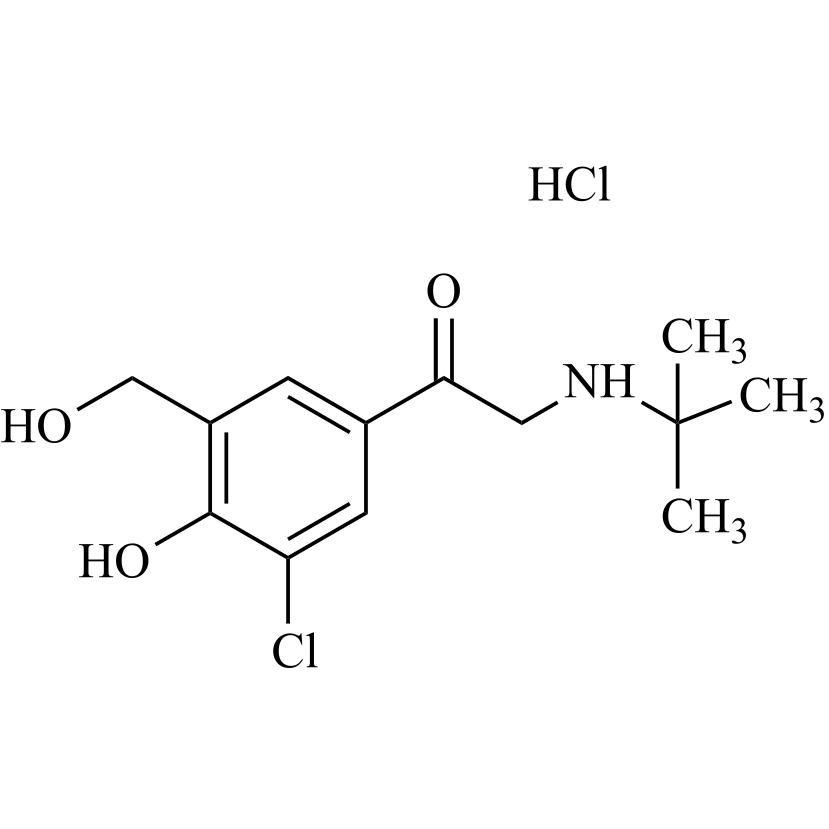
Salbutamol EP Impurity D Hemisulfate (Levalbuterol USP Related Compound D)
M.F.
M.W. 237.30 0.5*98.07
CAT# AR-S09848
CAS# NA